91猫先生
学校91猫先生
|
书记院长信箱
|
91猫先生 官方邮箱
网站91猫先生
91猫先生概况
机构设置
现任领导
行政机构
书记院长信箱
91猫先生 官方邮箱
本科生教育
研究生教育
专业与导师介绍
研究生培养
研究生管理
研究生活动
荣休(原)导师
教学科研
师资力量
科研信息
资料下载
科研团队
党团建设
组织设置
党建活动
团委工作
学习教育
招生就业
研究生
本科生
学术预告
网站91猫先生
>
通知公告
>
正文
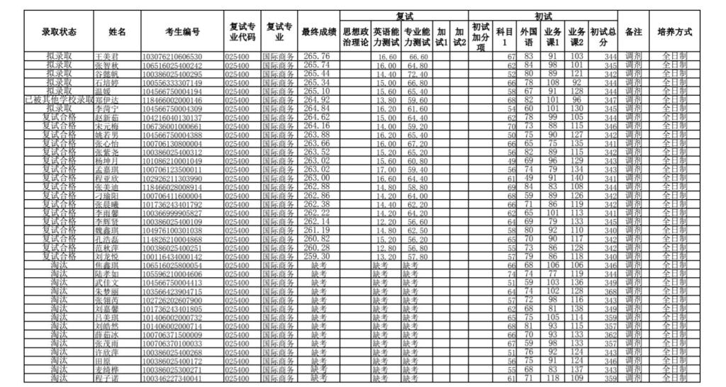
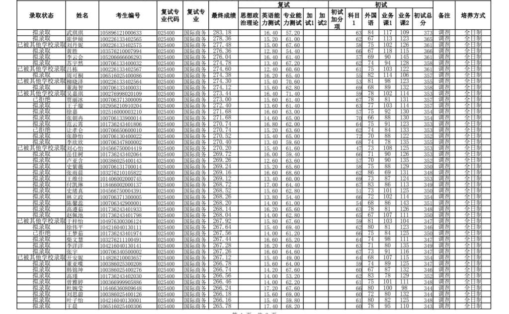
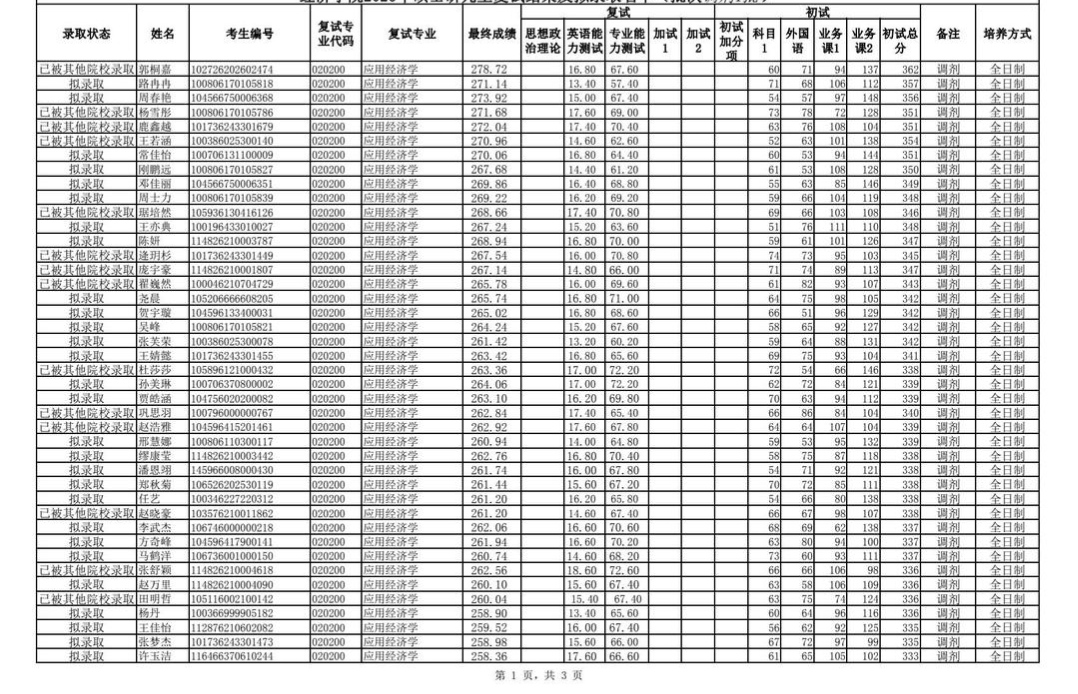
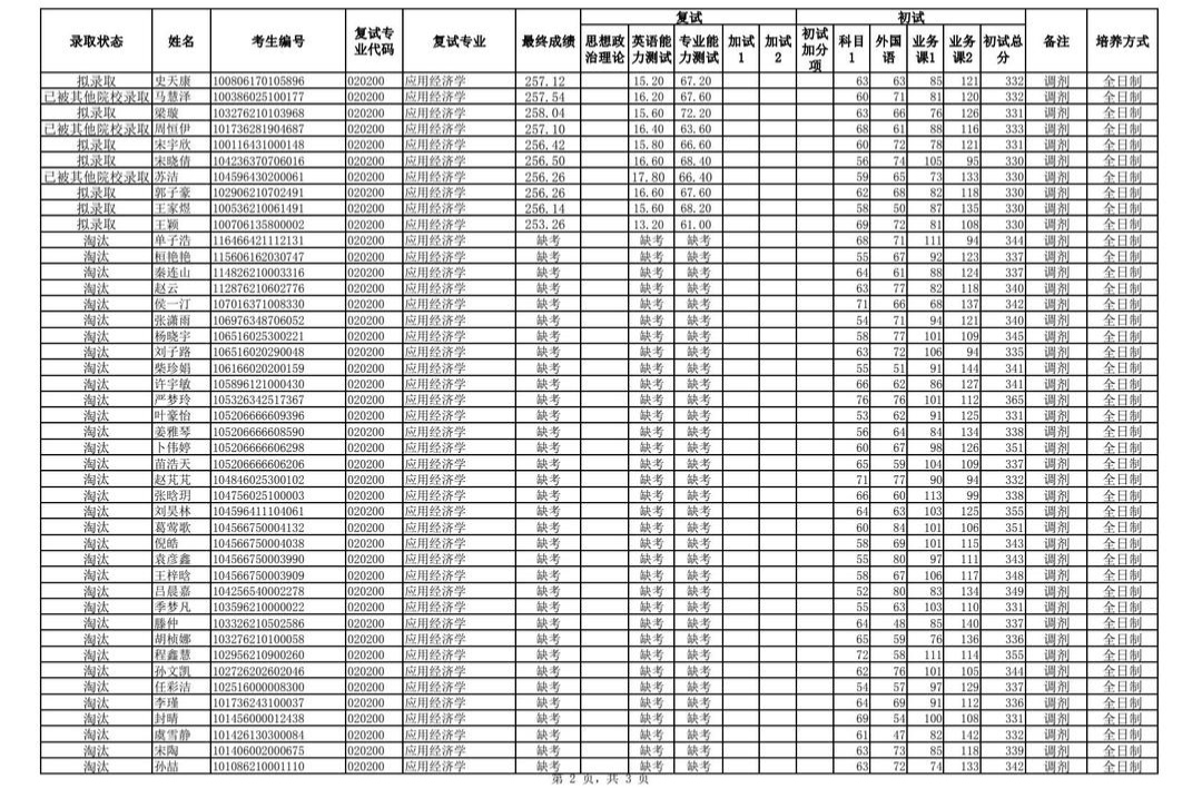
91猫先生 2026年硕士研究生复试结果及拟录取名单(批次调剂1批)
作者: 时间:2026-04-10 点击数:
上一篇:
理论经济学专业2026年调剂复试(二批)考生名单
下一篇:
国际商务专业2026年调剂复试(一批)考生名单
友情链接
/LINK
版权所有 © 91猫先生-宅男必备成人天堂精彩片源实时更新 地址:河北省石家庄市学府路47号91猫先生 邮编:050061